Capítulo 10: Covid-19 y el modelo matemático de las epidemias.
Es importante y hay que explicarlo. A pesar de que no soy epidemiólogo, intentaré explicarlo de la forma más sencilla. ¿Cómo se resuelven las epidemias? Si, adivinaste. Con data, en realidad con Big Data. Bueno, claro… con excelentes doctores, con fármacos precisos pero todo parte de modelos matemáticos. Si no sabemos cómo se comporta una epidemia a nivel números, no podemos resolverla. Asi es que ellos, los doctores necesitan herramientas de análítica y sobre todo Inteligencia Artificial.
Esto es Cerebro de Silicio, el futuro de la Inteligencia Artificial, hoy
Capítulo 10: Covid-19 y el modelo matemático de las epidemias.
Si, vi nuevamente “Epidemia”, o “Outbreak”. Una película con Dustin Hoffman, Rene Russo y un joven Cuba Gooding Jr en donde un virus asesino sale de control de instalaciones gubernamentales, infectando un pueblo completo y poniendo en riesgo a los Estados Unidos y por supuesto el mundo. Lo bueno es que tenemos a un héroe: Dustin Hoffman Este virus es algo similar al ébola, pero con una capacidad de transportarse por aire. En fin, en términos de Storytelling, es la clásica historia “venciendo al monstruo” -sólo que el monstruo es cuasi invisible. Uno la termina de ver y desea tocarlo todo con guantes estériles y tapaboca… como la vida real.
Pero ¿porque hablamos de esto en Cerebro de Silicio? Bien, pues todo lo que sucede es sobre ciencia, medicina, química, biología pero sobre todo, matemáticas. Modelos. Hoy en día, los científicos de datos que trabajan en epidemiología son capaces de identificar cómo se comporta un virus y sobre todo predecir y pronosticar su propagación. Incluso son capaces de tomar decisiones modelando datos de lo sucedido ahora aquí y en otros momentos en otros sitios, anticipando el futuro. ¿Predecir?… te la dejo barata, digamos… pronosticar.
Quede claro de sobre manera que no soy epidemiólogo. Simplemente un storyteller de información, de tecnología, de ciencia y de cuentos en mis ratos libres así como de muchos otros menesteres basados en estudio, experiencia y sobre todo, toneladas de información de fuentes confiables. Mi formación es tecnología y economía.
Bien, pues epidemias han habido muchas. En 1374 se documenta “la peste negra”, la plaga que se extendió en el siglo XIV en toda europa, cobrando 25 millones de víctimas, indica Mimmo Iannelli del departamento de matemáticas de la universidad de Trento ¿Te imaginas 25 millones de decesos en aquel entonces?
http://itech.fgcu.edu/faculty/pfeng/teaching/epidemics.pdf
¿En qué consiste entonces, desde el punto de vista de la analítica una epidemia o pandemia? Déjame contarte una historia.
Imagina una escalera de tres niveles y, en el escalón superior, coloca una cubeta, un balde, un cubo. El recipiente cuenta con 7,500 millones de individuos. Es la población mundial. Somos nosotros… todos. Todos nosotros somos susceptibles a contraer una enfermedad como gripe, influenza, sarampión, ébola o Covid-19.
Bien, pues un buen día -cuenta la leyenda- un murciélago llegó volando y se posó en la base de la cubeta e hizo un par de agujeros pequeños, en realidad en la parte de China. A este balde lo llamaremos S - de susceptibles. Comenzó entonces a derramarse algo del líquido o más bien algunos de los 7,500 millones de individuos a una segunda cubeta que está en el nivel inmediato inferior. Este balde comenzó a llenarse. A este le llamaremos I - Infectados.
Modelo SIR. Susceptibles, Infectados y Recuperados.
El Balde I comenzó a llenarse, mostrando comportamientos extraños en los individuos. Síntomas nunca antes vistos, sospechando entonces de una enfermedad nueva. Difícilmente podrían curarse si no se sabía que les estaba sucediendo. Con un investigación, infectólogos dieron con el clavo y comenzaron a curarlos, haciendo un agujero en la cubeta I del segundo nivel para pasarlos a la cubeta del nivel siguiente inferior: R - Recuperados. Claro, en el inter, se desbordaba un poco de líquido al suelo, decesos que no fueron poca cosa, pero que por el momento no lo analizaremos. El agujero era muy pequeño y el chorro era muy fino y delgado. la cubeta I-Infectados, se llenaba rápidamente.
Bien, pues ese es el modelo SIR (Susceptibles, Infectados y Recuperados). Un modelo similar, es el SIS en el que los individuos vuelven a la cubeta superior cuando salen de la cubeta I. Después de estar infectados pueden ser susceptibles nuevamente pero este no es el caso a analizar, son otro tipo de enfermedades menos severas.
Lo que los investigadores, doctores, epidemiólogos, infectólogos, matemáticos y otros sabios personajes de ciencia hacen es preguntarse por supuesto, ¿como sucedió? Probablemente, la pregunta más complicada en el Covid-19, pero en el inter, se hacen más preguntas para intentar resolver la crisis:
¿Qué tan contagiosa es esta nueva enfermedad?
¿Cómo se contagia?
¿Que velocidad de contagio tiene?
¿Cómo se detiene el contagio?
¿Cómo se recupera el individuo, es decir, como se cura?
¿Como se comporta en todos sus estados, con respecto al tiempo?… En fin.
Así es que nuestros amigos los científicos analizan ambos flujos o chorros de agua de las cubetas: Primero el de S a I:
Mientras más gente susceptible a la enfermedad haya, más enfermos habrán.
Mientras más gente esté infectada, más gente se infectara.
y después, de I a R. De aquí, salen premisas o el inicio de conclusiones.
Mientras más gente infectada haya, más gente se recuperará -o morirá- cada día.
Así es que se consiguen datos para analizarlo. Sí… como hablamos de 7,500 millones de personas con comportamientos distintos en 200 países, climas y costumbres distintas y con medidas distintas tomadas por parte de los gobiernos. ¿Te das cuenta de la cantidad de información a analizar? Si, hablamos de Big Data. Recopilaciones complejas, diversas y diarias. Se consideran también otras curvas de enfermedades que ya se tengan bien estudiadas y que pudieran parecerse al Covid-19 para modelar sobre ellas los comportamientos. Así, los científicos encuentran una serie de ecuaciones que al alimentarla con los datos, nos dirán cuándo y podríamos llegar a una estabilización donde ya no haya más casos, el denominado plateau o meseta.
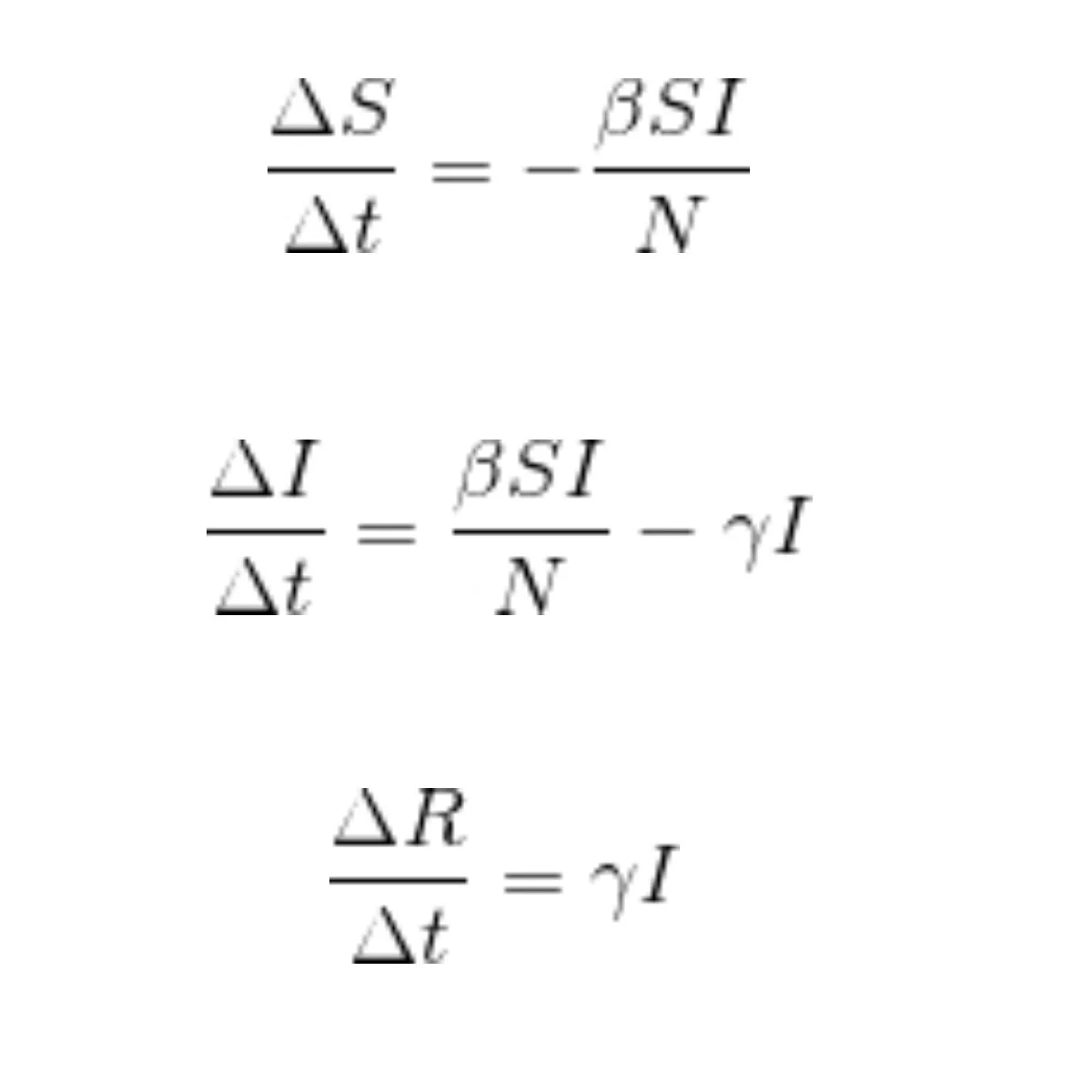
Ecuaciones del Modelo SIR
Variación de Susceptibles con respecto al tiempo, variación de Infectados con respecto al tiempo y variación de Recuperados con respecto al tiempo.
El reto principal es que estas ecuaciones nos muestran un escenario adverso, el cual está creciendo exponencialmente. Lo bueno es que ya sabemos que es posible revertirlo porque China logró detener y revertir la curva de crecimiento. Así, el análisis de las ecuaciones del modelo SIR nos llevan a dos conclusiones importantes:
Las medidas deben ser decrementar la infección e incrementar la recuperación. Es decir, que menos personas caigan en la cubeta I -infección y que más personas caigan en la cubeta R - recuperación. Es decir, Vaciar la cubeta intermedia. ¿Es obvio? Si. Pero lo importante es que está validado y cuantificado científicamente, con analítica.
Aquí es donde los científicos se ponen de acuerdo con autoridades y se ejecutan medidas importantes con el gobierno:
Para decrementar la infección los gobiernos:
Deben incrementar medidas de higiene
Deben instrumentan estrategias de control de fronteras (más o menos mal hechas o ejecutadas de forma tardía).
Mantenerse en casa. Esta medida hará un cerco en el que los infectados permanecen infectados pero separados de otros susceptibles.
Desarrollar vacunas, lo cual llevará bastante tiempo.
Ahora, para incrementar la recuperación, no hay mucho que hacer.
Desarrollar mejores servicios de salud.
Mejores las medicinas.
Mejores los tratamientos.
El gran reto es que la gente se comporta de forma errática y las condiciones externas van interactuando día a día, semana con semana sobre el sistema. Por ello, el modelo considera una retroalimentación: los cambios que se hagan al entorno hoy, harán que el comportamiento varíe en los números de mañana. Por ello es necesario incorporar habilidades de Machine Learning, en las que el algoritmo logre entender y recalibrarse con la nueva información que está llegando para incrementar la precisión.
Si, este es probablemente uno de los mejores ejemplos de la aplicación de Big Data, Analytics, Machine learning e Inteligencia Artificial en el día a día. Es una de las mejores maneras de entender la I.A. Es la mejor manera en la que la Ciencia de Datos ayuda en el sector salud. Sin análisis profundos de información, difícilmente pudiéramos resolver problemas de salud tan graves. Pero ¿esta tecnología ayudará a sanarnos? Solamente si la usamos de forma correcta y si hacemos caso de los resultados que nos entrega.
Cerebro de silicio es más que un podcast. Es una producción de Azul Chiclamino. Yo soy Rodrigo Llop.
¿Estas buscando desarrollar una estrategia de Inteligencia Artificial, de Analítica, de Big Data, Ciencia de Datos o de Business Intelligence? ¿O simplemente quieres saber más? en Cerebro de Silicio apoyamos a organizaciones a desarrollar e implementar estrategias de A.I. Conferencias, consultorías, talleres. contactanos. cerebrodesilicio.com
Referencia adicional: https://www.youtube.com/watch?v=qEKkJ5T4FGw




